Description
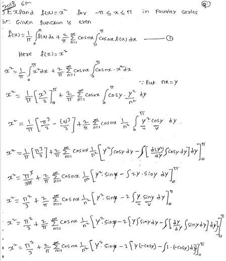
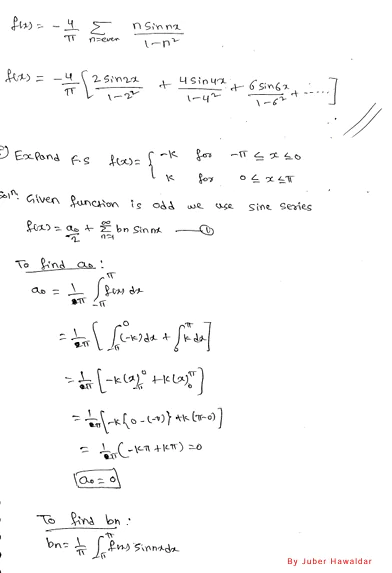
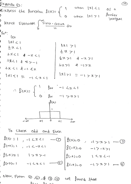
A Fourier Series is a mathematical tool used to break down periodic functions or signals into a sum of simpler sine and cosine waves. This decomposition allows complex functions to be represented as an infinite series of sinusoidal components, each with a specific frequency, amplitude, and phase. The Fourier Series is widely used in fields like signal processing, physics, and engineering, as it helps analyze and reconstruct periodic signals and systems efficiently.













Reviews
There are no reviews yet.