Description
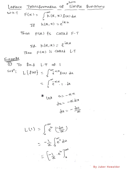
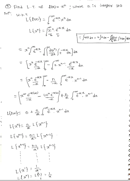
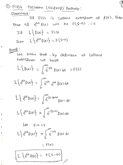
A Laplace transform is a mathematical technique used to transform a function of time (usually denoted as f(t)) into a function of a complex variable S. This transformation simplifies the process of solving linear differential equations by converting them into algebraic equations. The Laplace transform is widely used in engineering, physics, and control theory to analyze systems and processes, especially in the context of systems with constant coefficients. The result of applying the Laplace transform is a function F(s), which can be manipulated more easily before converting it back to the original time-domain function using the inverse Laplace transform.














Reviews
There are no reviews yet.